一、化学锚栓概述
化学锚栓由金属螺杆和锚固胶组成,通过锚固胶形成锚固作用的锚栓?;ǚ治胀ɑê吞厥獾棺缎位ā;ㄓ糜谠谝呀ǔ傻幕炷两峁股习沧捌渌峁沟牧蛹?,用于各种钢结构、幕墙、大理石干挂、设备及管道固定等施工中的后加埋件安装,也可用于设备安装,公路、桥梁护栏安装,建筑物加固改造等场合。
二、化学锚栓选用
《混凝土结构加固设计规范》(GB 50367-2013 )16.1.4条、16.1.5条规定,在抗震设防区的结构中,以及直接承受动力荷载的构件中,不得使用膨胀螺栓作为承重结构的连接件。在抗震设防区承重结构中使用锚栓时,应采用后扩底锚栓或特殊倒锥形胶黏型锚栓,且仅允许用于设防烈度不高于8度,或当8度时建于I、II类场地的建筑物。
同时,不得考虑非开裂混凝土对其承载力的提高作用。《混凝土结构后锚固技术规程》(JGJ 145-2013)4.1.1 锚栓应按照锚栓性能、基材性状、锚固连接的受力性质、被连接结构类型、抗震设防等要求选用。锚栓用于结构构件连接时的适用范围应符合表4.1.1-1的规定:
表4.1.1-1 锚栓用于结构构件连接时的适用范围

4.1.2 金属锚栓应采取和使用环境类别相适应的防腐措施。碳素钢、合金钢机械锚栓表面应进行镀锌防腐处理,电镀锌层平均厚度不应小于5μm,热浸镀锌平均厚度不应小于45μm。在室外环境、常年潮湿的室内环境、海边、高酸碱度的大气环境中应使用不锈钢材质的锚栓,含氯离子的环境中应使用高抗腐不锈钢。不同环境条件下适用的锚栓材质类别可按表4.1.2选用。
表4.1.2 不同环境条件下适用的锚栓材质类别

三、混凝土基材要求
《混凝土结构后锚固技术规程》(JGJ 145-2013)3.1.1 锚栓锚固基材可为钢筋混凝土、预应力混凝土或素混凝土构件。3.1.2 冻融受损混凝土、腐蚀受损混凝土、严重裂损混凝土、不密实混凝土等,不应作为锚固基材。3.1.3 基材混凝土强度等级不应低于C20,且不得高于C60;安全等级为一级的后锚固连接,其基材混凝土强度等级不应低于C30。3.3.10 采用化学锚栓的混凝土结构,其锚固区基材的长期使用温度不应高于50度。
四、化学锚栓设计计算
化学锚栓受拉承载力应按锚栓钢材破坏、混合破坏、混凝土锥体受拉破坏、劈裂破等4种破坏类型,及单锚与群锚两种锚固连接方式,共计8种情况分别进行计算。对于单锚连接,外力与抗力比较明确,计算较为简单。对于群锚连接,情况较为复杂:当为钢材破坏时,破坏主要出现在某些受力最大锚栓,因此,一般只计算受力最大(Nhsd)锚栓即可;当为混合破坏、混凝土锥体破坏或劈裂破坏时,主要表现为群锚基材整体破坏,故取Ngsd进行整体锚固计算。后锚固连接破坏应控制为锚栓钢材受拉破坏或连接构件延性破坏。
下面以某储罐与基础的连接为例进行设计计算:
工程概况:某六度区化工储罐,工作温度不超过35度,与本部分预埋件对应的主体结构采用混凝土强度等级为C30。选用8.8级倒锥形特殊胶粘型M30,hef=680mm。荷载条件:设备专业提单个螺栓承受最大拉力为70KN,不承担弯矩和剪力。形式如下:

1、单个锚栓拉力设计值计算
由《混凝土结构后锚固技术规程》(JGJ 145-2013)
5.2.1 轴心拉力作用下,群锚各锚栓所承受的拉力设计值应按下式计算:
Nsd=k1N/n (5.2.1)
2、受拉承载力计算
(1)计算NRd,s:
《混凝土结构后锚固技术规程》(JGJ 145-2013)
6.1.2 机械锚栓钢材破坏受拉承载力设计值NRd,s应按下列公式计算:
NRd,s=NRk,s/γRs,N (6.1.2-1)
NRk,s=?ykAs (6.1.2-2)
式中:NRk,s——机械锚栓钢材破坏受拉承载力标准值(N);
γRs,N——机械锚栓钢材破坏受拉承载力分项系数,按本规程表4.3.10 采用;
As ——机械锚栓应力截面面积(mm2);
?yk——机械锚栓屈服强度标准值(N/mm2)。


γRs,N取值1.3,8.8级锚栓?yk取值640 N/mm2
NRk,s=?ykAs =640*561=359KN
NRd,s=NRk,s/γRs,N=359/1.3=276KN
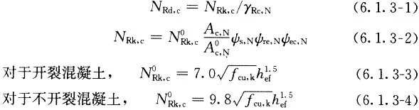
(2)计算NRd,c:
《混凝土结构后锚固技术规程》(JGJ 145-2013)
6.1.3 混凝土锥体破坏受拉承载力设计值NRd,c应按下列公式计算:

式中:NRk,c——混凝土锥体破坏受拉承载力标准值(N)。
N0Rk,c——单根锚栓受拉时,混凝土理想锥体破坏受拉承载力标准值(N)。
γRc,N——混凝土锥体破坏受拉承载力分项系数,按本规程表4.3.10采 用。
?cu,k——混凝土立方体抗压强度标准值(N/mm2)。当?cu,k不小于45N/mm2且 不大于60N/mm2时,应乘以降低系数0.95。
hef——锚栓有效锚固深度(mm)。对于膨胀型锚栓及扩底型锚栓,为膨胀锥体与孔壁最大挤压点的深度。
A0c,N——单根锚栓受拉且无间距、边距影响时,混凝土理想锥体破坏投影面面积(mm2),按本规程第6.1.4条的规定计算。
Ac,N——单根锚栓或群锚受拉时,混凝土实际锥体破坏投影面面积(mm2),按本规程第6.1.5条的规定计算。
ψs,N——边距c对受拉承载力的影响系数,按本规程第6.1.6条的规定计算。
ψre,N——表层混凝土因密集配筋的剥离作用对受拉承载力的影响系数,按本规程第6.1.7条的规定计算。
ψec,N——荷载偏心eN对受拉承载力的影响系数,按本规程第6.1.8条的规定计算。
6.1.4 单根锚栓受拉时,混凝土理想锥体破坏投影面面积A0c,N(图6.1.4)应按下式计算:
A0c,N=s2cr,N (6.1.4)
式中:scr,N——混凝土锥体破坏且无间距效应和边缘效应情况下,每根锚栓达到受拉承载力标准值的临界间距(mm),应取为3hef。

6.1.5 单根锚栓或群锚受拉时,混凝土实际锥体破坏投影面面积Ac,N,应根据锚栓排列布置情况的不同,分别按下列公式计算:
1 单根锚栓,靠近构件边缘布置,且c1不大于ccr,N时(图6.1.5-1)
Ac,N=(c1+0.5scr,N)ssr,N (6.1.5-1)
式中:c1——方向1的边距(mm);
c2——方向2的边距(mm);
s1——方向1的间距(mm);
s2——向2的间距(mm);
ccr,N——混凝土锥体破坏且无间距效应及边缘效应情况下,每根锚栓达到受拉承载力标准值的临界边距(mm),应取为1.5hef。
6.1.6 边距c对受拉承载力的影响系数ψs,N应按下式计算。当ψs,N的计算值大于1.0时,应取1.0。

式中:c——边距(mm),有多个边距时应取最小值。
6.1.7 表层混凝土因密集配筋的剥离作用对受拉承载力的影响系数ψre,N应按下式计算。当ψre,N的计算值大于1.0时,应取1.0;当锚固区钢筋间距s不小于150mm时,或钢筋直径d不大于10mm且s不小于100mm时,ψre,N应取1.0。

6.1.8 荷载偏心对受拉承载力的影响系数ψec,N应按下式计算。当ψec,N的计算值大于1.0时,应取1.0;当为双向偏心时,应分别按两个方向计算,ψec,N应取ψ(ec,N)1·ψ(ec,N)2。

式中:eN——受拉锚栓合力点相对于群锚受拉锚栓重心的偏心距(mm)。
(3)计算NRd,sp:
由于选用特殊倒锥形化学锚栓,适用于开裂混凝土的锚栓,且按照开裂混凝土计算承载力,所以可不考虑荷载条件下的劈裂破坏。
3、抗震承载力验算
《混凝土结构后锚固技术规程》(JGJ 145-2013)
8.2.2 后锚固连接控制为锚栓钢材受拉延性破坏时,应满足下列要求:
1 单个锚栓

4、承载力验算:
《混凝土结构后锚固技术规程》(JGJ 145-2013)
4.3.5 后锚固连接承载力应采用下列设计表达式进行验算:
无地震作用组合:γ0S≤Rd (4.3.5-1)
有地震作用组合:γ0S≤kRd/γRE (4.3.5-2)
Rd=Rk/γR (4.3.5-3)
无地震作用组合:
γ0S=1.2*77=92.4KN≤NRd,s=276kKN≤NRD,c=377KN
有地震作用组合:
γ0S=1.0*77=77KN≤0.8*NRd,s=0.8*276=220kKN≤0.8*NRD,c=0.8*377=301KN
满足要求。
5、倒锥形化学锚栓通用设计说明: